FespaM
Tutorial
Βέλος αμφιερίστου ![]()
Βέλος προβόλου 
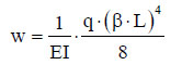
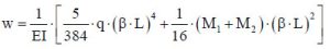
Tο ελαστικό μήκος LW για τον υπολογισμό του βέλους κάμψης w είναι: LW=βο*L όπου:
βο ⇒ Συντελεστής καθαρού μήκους για υπολογισμό βέλους (καρτέλα «Δομικός χάλυβας»)
L ⇒ Πραγματικό μήκος του μέλους
Σημείωση
Οι τιμές του πίνακα ισχύουν εφόσον έχει γίνει η ενοποίηση των ανοιγμάτων μέσω της εντολής «Δοκός για διαστασιολόγηση» (Βλ. Ερώτηση 47). Στο Τεύχος («Δοκοί >…>Έλεγχοι βελών κάμψης») εκτυπώνεται πίνακας με τις τιμές των βελών και όλους τους ελέγχους (Βλ. Ερώτηση 51).