Fespa

Πώς ορίζονται οι οριζόντιες και κατακόρυφες ζώνες ανέμου;

Από: Magda

Με την εντολή «Παραγωγή συνδυασμών δράσεων» των «Παραγωγών», για κάθε περίπτωση φόρτισης (W+x, W-x, W+z, W-z) φορτίζονται τα υποστυλώματα και οι δοκοί, για τις οποίες έχει δοθεί «Παραλαβή φορτίων ανέμου = Ναι».

Σχήμα 1: Η επιφάνεια ανέμου της στέγης απαιτείται να περιγράφεται από περίπου παράλληλες μεταξύ τους δοκούς (είτε από τις τεγίδες είτε από τα πλαίσια).

Ορισμός των επιφανειών ανέμου της στέγης είτε μέσω των τεγίδων είτε μέσω των πλαισίων

Εικόνα 1: Δώστε την παράμετρο «Δοκός > Στατικά > Παραλαβή φορτίων ανέμου (στέγη) = Ναι» μόνο στις τεγίδες. Η παράμετρος για τα γενικά μέλη είναι στο «Όχι».
Εικόνα 2: Δώστε την παράμετρο «Δοκός > Στατικά > Παραλαβή φορτίων ανέμου (στέγη) = Ναι» μόνο στα πλαίσια. Η παράμετρος για τις τεγίδες είναι στο «Όχι».

Ορισμός των κατακόρυφων επιφανειών που φορτίζονται με άνεμο

Εικόνα 3: Δώστε στα υποστυλώματα του εξωτερικού κελύφους της κατασκευής την παράμετρο «Υποστύλωμα > Στατικά > Παραλαβή φορτίων ανέμου = Ναι».

Αποτελέσματα στο Τεύχος

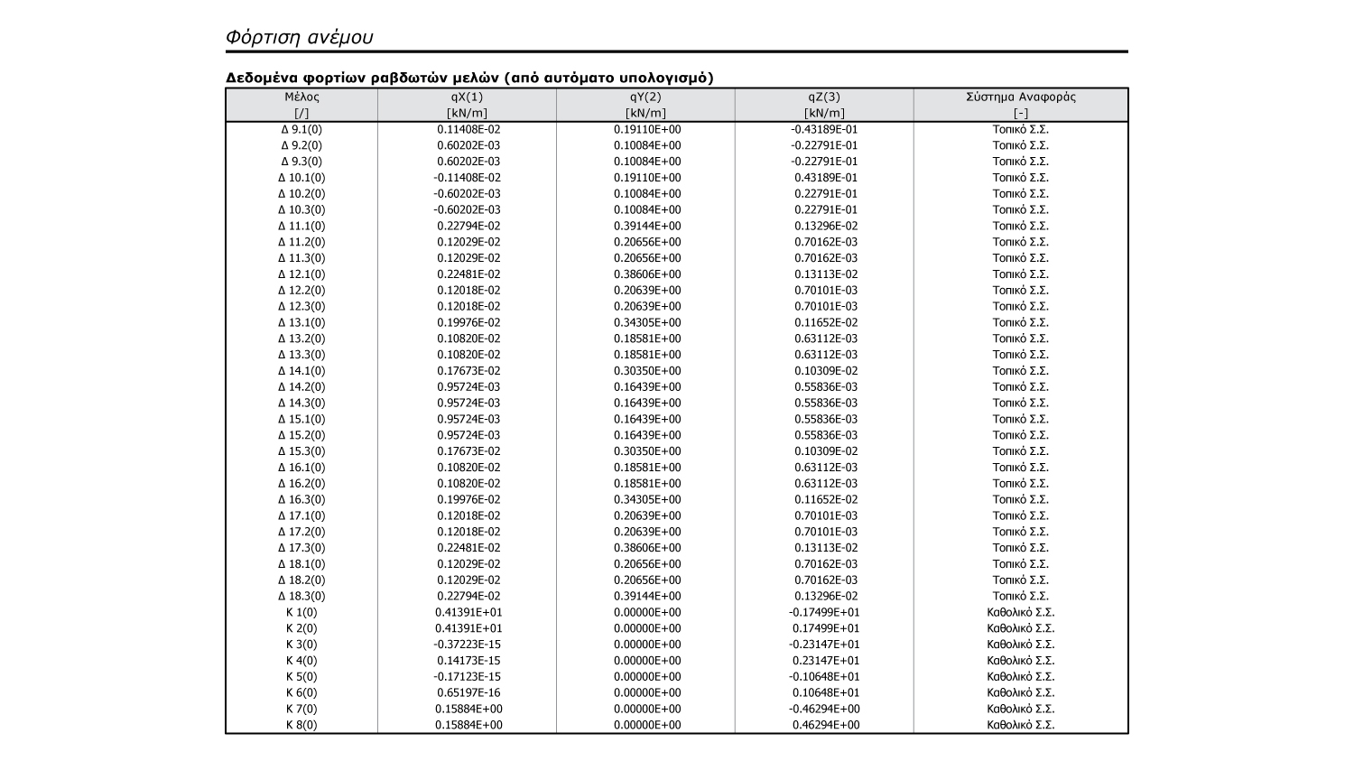
Στο Tεύχος, εάν επιλεγεί «Επίλυση > Αποτελέσματα > Λεπτομέρεια αποτελεσμάτων επίλυσης χωρικού = Εκτεταμένη», είναι δυνατή η επισκόπηση των κατανεμημένων φορτίων ανέμου όλων των μελών ανά φόρτιση.
Το φορτίο ανέμου της κάθε δοκού προκύπτει από το εμβαδόν της κάθε ζώνης ανέμου που εντάσσεται στη ζώνη επιρροής της δοκού αυτής. Οι ζώνες επιρροής των δοκών αυτών προκύπτουν διχοτομώντας τις περιοχές μεταξύ δύο διαδοχικών τέτοιων δοκών.

Εικόνα 4: Κατανεμημένα φορτία ανέμου όλων των μελών ανά φόρτιση στο Τεύχος.
Σχήμα 2: Σχήμα με ζώνες ανεμοπίεσης στους κατακόρυφους τοίχους (A, B, C, D, E) και στη στέγη (F, G, H, I).

Χρειάζεστε βοήθεια;

Επικοινωνήστε μαζί μας!