FespaC | FespaM

Πώς ορίζονται οι ζώνες χιονιού;

Από: Magda

Με την εντολή «Παραγωγή συνδυασμών δράσεων» των «Παραγωγών», φορτίζονται οι δοκοί, για τις οποίες έχει δοθεί «Παραλαβή φορτίων χιονιού (στέγη) = Ναι».

Σχήμα 1: Η επιφάνεια χιονιού της στέγης απαιτείται να περιγράφεται από περίπου παράλληλες μεταξύ τους δοκούς (είτε από τις τεγίδες είτε από τα πλαίσια).

Ορισμός των επιφανειών χιονιού της στέγης είτε μέσω των τεγίδων είτε μέσω των πλαισίων

Εικόνα 1: Δώστε την παράμετρο «Δοκός > Στατικά > Παραλαβή φορτίων χιονιού (στέγη) = Ναι» μόνο στις τεγίδες. Η παράμετρος για τα γενικά μέλη είναι στο «Όχι».
Εικόνα 2: Δώστε την παράμετρο «Δοκός > Στατικά > Παραλαβή φορτίων χιονιού (στέγη) = Ναι» μόνο στα πλαίσια. Η παράμετρος για τις τεγίδες είναι στο «Όχι».

Αποτελέσματα στο Τεύχος

Σχήμα 2: Κάτοψη δίρριχτης στέγης με δυο διακριτές επιφάνειες εφαρμογής φορτίου χιονιού.
Σχήμα 3: Τομή δίρριχτης στέγης με δυο διακριτές επιφάνειες εφαρμογής φορτίου χιονιού.
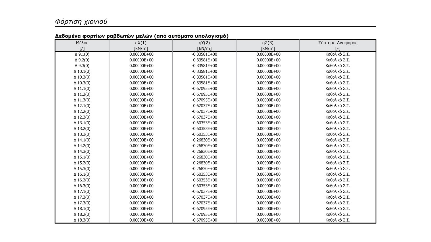
Εικόνα 3: Κατανεμημένα φορτία χιονιού όλων των μελών ανά φόρτιση.

Το φορτίο χιονιού της κάθε δοκού προκύπτει από το εμβαδόν της κάθε επιφάνειας χιονιού που εντάσσεται στη ζώνη επιρροής της δοκού αυτής. Οι ζώνες επιρροής των δοκών αυτών προκύπτουν διχοτομώντας τις περιοχές μεταξύ δύο διαδοχικών τέτοιων δοκών. Για αυτό το λόγο, απαιτείται η κάθε επιφάνεια της στέγης να περιγράφεται από (περίπου) παράλληλες δοκούς (δηλαδή αμφιέρειστα panels). Η κάθε επιφάνεια φέρει επιφανειακό φορτίο χιονιού το οποίο προσδιορίζεται από τον συντελεστή σχήματος χιονιού μ, ο οποίος είτε προσδιορίζεται αυτόματα από το πρόγραμμα είτε εισάγεται από το χρήστη.

Χρειάζεστε βοήθεια;

Επικοινωνήστε μαζί μας!